規約の付則
賃貸住宅フランチャイズシステム規約の付則
以下の付則の中には、管理会計等に基づく計算式も含まれているが、これらの計算式のPCモデルを作成してあるので、手計算せずに、PCモデルを使用すれば、数値を入力するだけで計算は自動的に簡単に行なうことができるので、活用することを勧めます。
なお、それらの計算式については、数学的な意味の理解よりも、実務的・財務的な意味、例えば、借入金の元利均等払いの計算とかの意味合いの理解が大切です。
◎建築・工務店サブフランチャイザー
フランチャイザーが、WEBによる勧誘、及び、ホームページのアクセス分析とWEB上のPCモデル使用のアクセス分析から、賃貸住宅オーナー希望者を募集して、建築・工務店サブフランチャイザーを経由して、フランチャイジーである建築・工務店に賃貸住宅オーナー希望者を紹介する。
フランチャイザーは、斡旋者が賃貸住宅オーナー希望者を紹介して、賃貸住宅契約を締結した場合には、下記の斡旋料規約に基づいて、建築・工務店が支払うことによって、賃貸住宅オーナー希望者を紹介する。
フランチャイザー(MCC)は、PCモデル・マニュアル・コンサルティングを使用して営業活動をする。また必要に応じてフランチャイジーの工務店の経営コンサルティングを行なう。
建築・工務店サブフランチャイザーは、フランチャイザーと合意した方式で以下の活動を行なう。
建築・工務店サブフランチャイザーには、フランチャイザーの系列企業である建設フランチャイザー社が担当する。
- 応募した建築・工務店が、当フランチャイジーとして、建設技術・部材品質等において、適格か否かを検証して、その結果を踏まえてフランチャイザーとサブフランチャイザーとが協議して合否を決定する。
- サブフランチャイザーが、建築受注の窓口となり、建築注文を一括して引き受ける。
- フランチャイザーと建築・工務店サブフランチャイザーが合意した発注基準に基づいて、建築・工務店サブフランチャイザーが、受注した建築注文を傘下のフランチャイジーに割当てる案を策定する。その案に基づいてフランチャイザーとサブフランチャイザーが協議した上で、フランチャイザーが最終的に決定する。
- サブフランチャイザーは、フランチャイジーである建築・工務店が、建設技術・部材品質等について、適格であるかを必要に応じて検査し、不適切であれば、是正勧告を行ない、同意しなければ、除名もありうる。
- サブフランチャイザーは、フランチャイジーの工務店に対して建築に関するコンサルティングを行なう。
−建設部材のプレハブ化の促進
−建設部材のモジュール化の促進
−プレハブ工場との業務提携
−フランチャイジーの建築品質の維持向上のコンサルティングを行なう - 仕事の繁閑・至近現場間での建築技術者・技能者の相互融通を斡旋調整する。
- サブフランチャイジーは、固定費低減のためのコンサルティングと共同化を行なう
−設計・本社管理部門(経理・総務等)をグループ化して効率化・省力化・相互融通を行なう - サブフランチャイザーは、資材・部材の共同購入を行なって価格交渉力を強化して購入価格低減を図る
- カナダからの2×4(ツー・バイ・フォー)の開発輸入をしてフランチャイジーに供給する
- 建築・工務店サブフランチャイザーは、フランチャイジーであるオーナーからの受注金額の0.3%のコンサルティング料を取得して、その3分の2をサブフランチャイザーに配分し、フランチャイザーに3分の1を配分する
フランチャイザーが最終的に決定する理由は、建築注文の割り当て先には、フランチャイジーと共にサブフランチャイザーも含まれる。従って、公平性の維持と、フランチャイジーの工務店からの不満がないように、フランチャイザーが最終的に決定する。
◎建築・工務店のフランチャイズシステムに参加するメリット
詳しくは、別途のレジュメ、「建築・工務店のフランチャイズシステムに参加するメリット」を参照する必要があるが、以下に要約する。
- 家賃保証による工務店の受注促進
−家賃保証による賃貸住宅の建築受注の増加 - 限界利益による工務店の収益増大
−限界利益とは受注価格マイナス変動費であり、管理会計の概念の一つ
詳しくは、「建築・工務店のフランチャイズシステムに参加するメリット」を参照すること。 - 許容建築費で受注する責務とメリット
許容建築費の意味は、一方において、オーナーにとって適正利益が出ることによる許容建築費であり、他方において建築・工務店にとっても、稼動余力がある限り、限界利益(=受注価格−変動費)が出て、経営上有利な許容建築費である。
許容建築費は、上述の意味を持つが、建築・工務店が、当フランチャイズシステムに参加する一つの条件は、限界利益が出る範囲内での通常価格からの値引を受け入れる努力をすることである。
詳しくは、「建築・工務店のフランチャイズシステムに参加するメリット」を参照すること。 - 部材の共同購入による単価低減
- ネット上の家計モデルアクセス分析に基づくポテンシャルカスタマーの発見と紹介によるメリット
- 家計モデルによるポテンシャルカスタマーへのコンサルティング営業の指導
- 譲渡付住宅リース向けのリース貸し手の掘り起こし
- 譲渡付住宅リース向けのリース借り手の掘り起こし
◎賃貸住宅フランチャイズシステムにおける賃貸住宅オーナーの自己資本利益率(ROE)の計算に用いる許容建築費公式
幾つかの条件により賃貸住宅オーナーの自己資本利益率、すなち、ROE(=Return On Equity)は変動する。
その条件とは、賃貸料、投資額に占める自己資本と借入金比率、借入金の利子率、土地代金・建築費等である。しかし、目途としては、借入金の利子率が2%の場合には、自己資本利益率、すなち、ROEは10%である。
具体的な事例における、最終的な自己資本利益率、すなち、ROEは、下記の公式(許容建築費公式)で算出される。
賃貸料から諸経費を控除して実質収入を算出し、そこから自己資金額に想定自己資本利益率(10%)を乗じて自己資本必要利益を控除した金額が、借入金(多くの場合は建築費)に対する元利合計支払額となる。この元利合計支払額に相当する、借入金額を利子率2%として計算する。借入金は、多くの場合は建築費であるので、この建築費が、建築会社にとって、受け入れられるかを、建築会社と検証・折衝する。このプロセスにより算出された建築費は、建築会社にとって、受け入れられるだけではなくて、賃貸住宅オーナーにとっても受け入れられるものである。なぜならば、この建築費は、オーナーも納得する想定自己資本利益率(10%)を生み出す金額であるからである。したがって、この建築費は、許容建築費と呼び、これを算出する公式を、許容建築費公式と呼ぶ。
この許容建築費公式を定式化すると、以下の通りである。
許容建築費={賃貸料−(仲介手数料+空室予想率+修繕維持費+租税公課+その他諸経費)−自己資金額×想定自己資本利益率}÷元利合計均等払係数(注)
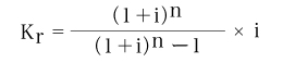
(注)元利合計均等払係数は、借入金額に相当する毎年の元利合計を算出する係数であり、具体的には、元利合計均等払係数=(1+利子率)のn乗÷{(1+利子率)のn乗−1}×利子率 である。なお、nは、借入年数である。元利均等係数krとして、

建築会社とか、銀行、土地売主とかの交渉により、最終的に細目が決定したときに、この案件が、いくらの自己資本利益率になるかを計算する公式は、以下の通りである。
自己資本利益率(ROE)={賃貸料−(仲介手数料+空室予想率+修繕維持費+租税公課+その他諸経費)−元利合計均等払係数×合意された借入金額}÷自己資金額
(注)財務会計上の利益では、借入金の元金返済が無くて、減価償却費があるが、長期的には、ほぼ同じである。
◎家賃保証における賃貸住宅オーナーの自己資本利益率(ROE)の計算に用いる許容建築費公式
建築会社とか、銀行、土地売主とかの交渉により、最終的に細目が決定したときに、この案件が、いくらの自己資本利益率になるかを計算する計算方法、及び、公式は、以下の通りである。
家賃保証における賃貸住宅オーナーの自己資本利益率(ROE)を計算する前提として、まず、家賃保証が無い場合の許容建築費を上述の許容建築費公式で計算する。それは以下の通りである。下記の公式で、元利合計均等払係数は、決定された利子率に対応する元利合計均等払係数を使用する。想定自己資本利益率は、10%前後の数値であることが多い。
許容建築費={賃貸料−(仲介手数料+空室予想率+修繕維持費+租税公課+その他諸経費)−自己資金額×想定自己資本利益率}÷元利合計均等払係数
次に、この許容建築費を使用して、以下の家賃保証における賃貸住宅オーナーの自己資本利益率の公式で自己資本利益率を計算する。
自己資本利益率(ROE)={賃貸料×95%−(仲介手数料+空室予想率+修繕維持費+租税公課+その他諸経費+賃貸料×10%)−元利合計均等払係数×許容建築費}÷自己資金額
上記の公式で、賃貸料×95%となっているのは、家賃保証は賃貸料の95%であるからである。
◎土地探索・評価サブフランチャイザーのリベートと配分
土地探索・評価サブフランチャイザーは、土地を探索する人と、その土地の建築可能性・建築費、及び、賃貸住宅の経済性評価する事業活動グループである。
土地探索・評価サブフランチャイザーの活動の結果として、賃貸住宅オーナーは、平均土地価格より割安な土地を入手する利得が生じる。その利得の10%を付則で規定する方式でリベートを支払うものとする。そして、そのリベートを土地探索・評価サブフランチャイザーとフランチャイザーとの間で配分する。
平均土地価格は、当該土地の路線価に20%加算したものとする。
平均土地価格から実際の購入価格を控除したものを利得として、それに10%を乗じたものをリベートとする。
しかし、当該土地の路線価は、大ざっぱな価額を示しており、必ずしもその土地が置かれているを状況を正確に反映してはいない。したがって、この計算に用いる土地価額は、以下の調整が必要である。上述の平均土地価格を調整するために、交通利便性とか生活利便性等の25項目からなる定性的土地評価法に基づく7段階評価を用いて、以下の調整を行なう。上述の平均土地価格に7段階評価による調整率を乗じて算出する。
しかし、土地価格には、いろんな条件により、かなり差異が生じる場合がある。したがって、上記の利得の計算法に基づくと相当な利得になる場合がある。したがって、それを考慮して、利得の上限を10万円/坪に限定する。
また、計算により、利得がマイナスになったら、利得をゼロとする。
定性的土地評価法に
基づく7段階評価 調整率(%) 調整後土地価格(万円/坪)
非常に良い +30% 52(万円/坪)
良 い +20% 48(万円/坪)
やや良い +10% 44(万円/坪)
普 通 0% 40(万円/坪)
やや悪い ー10% 36(万円/坪)
悪 い ー20% 32(万円/坪)
非常に悪い ー30% 28(万円/坪)
(注)調整後土地価格=平均土地価格×(100+調整率)÷100
事例として、以下の3ケースでは、路線価に基づく平均土地価格が40万円/坪であり、Aケースは、定性的7段階評価では、「良い」であり、実際の購入価額が50万円と言うケースと、Bケースは、7段階評価では、「やや良い」であり、実際の購入価額が37万円と言うケースであり、Cケースでは、7段階評価では、「やや悪い」であり、実際の購入価額が20万円/坪と言うケースであるとして、調整を行なった上で、賃貸住宅オーナーが得る利得を計算する。
Aケース:48万円/坪−50万円/坪=−2万円/坪 となるが、マイナスであるので、利得は、0円/坪となる。
Bケース:44万円/坪−37万円/坪==7万円/坪 となる。
Cケース:36万円/坪−20万円/坪=16万円/坪 となるが、上限を超えるので、利得は、10万円/坪となる。
通常、長期に資本回収できない土地については、財務安全性から、自己資本で賄う。従って、土地買収額が低減することは、自己資金の節約となるのである。節約された自己資金は、他の投資案件に充当されて、このオーナーの自己資本期待利益率の利益が生ずる。
この利益が土地価額低減の結果として得られる利得である。
この利得を一定期間利息をつけて、オーナーから土地探索・評価サブフランチャイザー及びフランチャイザーに以下の公式で均等払いするのである。
利息の利率は、オーナーの自己資本期待利益率である。もし、土地探索・評価サブフランチャイザー及びフランチャイザーが、即金を希望し、オーナーが承諾すれば、現在の利得の10%の半分とする。
均等払の計算公式は以下の通りである。
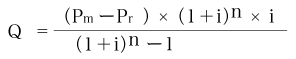
均等払=(平均土地価格−実際の購入価格)×(1+i)のn乗÷{(1+i)のn乗−1}×i
Q:均等払い額、Pm:平均土地価格、Pr:実際の購入価格、n:回数、i:利得、等比数列として

以下に事例で計算する。
事例
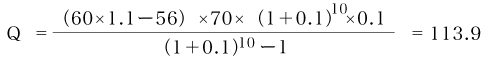
平均土地価格;60万円/坪:実際の購入価格56万円/坪:定性的7段階評価では
「やや良い」(調整率:+10%)であり:土地面積;70坪:期間;10年:自己資本期待利益率;10%
利得;(平均土地価格;60万円/坪×(100+10)÷100−実際の購入価格56万円/坪)×土地面積;70坪=700万円
10年間の均等払=自己資本減少額;700万円×(1+0.1)の10乗÷{(1+0.1)の10乗−1}×0.1=700万円×0.163=114万円/年

その金額の114万円/年の10%をリベートとするので、114万円/年×10%=11.4万円/年をリベートとする。
リベートのうち3分の2を土地探索・評価サブフランチャイザーに配分し、3分の1をフランチャイザーに配分する。
もし、一時払いの合意が成立するならば、700万円×10%÷2=35万円となる。
建築関係の報酬システムには、斡旋者の報酬と建築会社の関係、及び、業界の平均建築費を下回る建築費との差額による利益の報酬システムがあり、以下に規定する。
◎斡旋者の報酬と建築会社の関係
斡旋者が、顧客を賃貸住宅フランチャイズシステムへ斡旋して、成約した場合の斡旋者の報酬であるが、この報酬は、建築単価との関係で決定するものとする。
この報酬は、建築会社が支払うものとする。斡旋料は建築単価により増減するものとする。
■斡旋者がすべてのプロセスを独自で行なって成約した場合
調整済み建築単価(注) 建設会社の礼金 斡旋者 フランチャイザー
55万円/坪以上 3.0%の礼金 2.0% 1.0%
52.5万円/坪以上55万円/坪未満 2.4%の礼金 1.6% 0.8%
50万円/坪以上52.5万円/坪未満 1.8%の礼金 1.2% 0.6%
47.5万円/坪以上50万円/坪未満 1.2%の礼金 0.8% 0.4%
45万円/坪以上47.5万円/坪未満 0.6%の礼金 0.4% 0.2%
45万円/坪以下 0%の礼金 0% 0%
■斡旋者とコンサルタントが協力して成約した場合
調整済み建築単価(注) 建設会社の礼金 斡旋者 コンサルタント フランチャイザー
55万円/坪以上 3.0%の礼金 1.0% 1.0% 1.0%
52.5万円/坪以上55万円/坪未満 2.4%の礼金 0.8% 0.8% 0.8%
50万円/坪以上52.5万円/坪未満 1.8%の礼金 0.6% 0.6% 0.6%
47.5万円/坪以上50万円/坪未満 1.2%の礼金 0.4% 0.4% 0.4%
45万円/坪以上47.5万円/坪未満 0.6%の礼金 0.2% 0.2% 0.2%
45万円/坪以下 0%の礼金 0% 0% 0%
(注)土地の量的評価点、すなわち、路線価と対比した量的評価点の7段階評価(付則参照)を用いて以下の調整をする。一般的に言って、地価が安いことは、建築費が高くなることが多いし、逆に地価が高いことは、建築費が低くなることが多いからである。したがって、土地の量的評価点の7段階評価に対応して、建築単価に下記の調整価額を加減して、調整済み建築単価を算出する。
量的評価点の7段階評価 調整価額
非常に安い +3万円/坪
安 い +2万円/坪
やや安い +1万円/坪
普 通 0円/坪
やや高い −1万円/坪
高 い −2万円/坪
非常に高い −3万円/坪
◎業界の平均建築費を下回る建築費との差額による利益の10%(10年間)の計算法
賃貸住宅フランチャイズシステムのオーナーは、業界の平均建築費を下回る建築費との差額による利益をリベートとして、建築会社とフランチャイザーに支払うものとする。
一般的に言って、地価が安いことは、建築費が高くなることが多いし、逆に地価が高いことは、建築費が低くなることが多いから調整が必要である。したがって、土地の量的評価点の7段階評価に対応して、上述した調整法により建築単価に上記の調整価額を加減して、調整済み建築単価を算出する。
リベートの金額は、利得の10%(10年間)、もしくは下記の方法による一時金の料金である。
■建築・工務店のリベートと配分
建築・工務店は、許容建築費の計算結果として、通常建築単価より割安な建築費で請負う場合には、その見返りとして以下の計算式に基づくリベートを受取り、そのリベートをフランチャイザーと配分する。
通常建築単価は、55万円/建坪とするが、建築部材・工賃等の市況により変更することがある。
リベート計算の基本的考え方は、賃貸住宅のオーナーは、通常建築単価より割安な建築費で済んだのであるから、通常建築単価からその割安な建築費を控除した金額分、銀行借入を減少できて、その結果、毎年の元利合計支払の減少、すなわち、利得を得たのであるから、その金額の10%をリベートとして、賃貸住宅のオーナーは支払うべきであると言う考え方である。
一般的に言って、地価が安いことは、建築費が高くなることが多いし、逆に地価が高いことは、建築費が低くなることが多い。したがって、土地の量的評価点の7段階評価に対応して、オーナー、及び、建築・工務店双方の許容建築費の建築単価に下記の調整価額を加減して、調整済み建築単価を算出する。調整方法は、土地の量的評価点、すなわち、路線価と対比した量的評価点の7段階評価(別表参照)を用いて以下の調整をする。
量的評価点の7段階評価 調整価額
非常に安い +3万円/坪
安 い +2万円/坪
やや安い +1万円/坪
普 通 0円/坪
やや高い −1万円/坪
高 い −2万円/坪
非常に高い −3万円/坪
本来、賃貸住宅のローンは30年であるが、あまり長期に渡るのは、当事者にとって不都合であるので、これを10年間のローンに置き換えてリベートを計算する。通常建築単価からその割安な建築費を控除した金額だけ借入金額が減少したのであるので、それを以下の公式で元利合計均等払額を計算する。
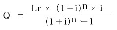
元利合計均等払=借入金額減少額×(1+i)のn乗÷{(1+i)のn乗−1}×i
Q:元利合計均等払、Lr:借入金額減少額、n:回数、i:利得、等比数列として

以下に事例で計算する。
事例
通常建築単価;55万円/延坪:量的評価点の7段階評価で「高い」(調整額は上記の表から−2万円/延坪)土地での建築費;46万円/延坪:総延坪;70坪:借入期間;10年:利子率;2%
利得;(通常建築単価;55万円/延坪−(建築費;46万円/延坪−2万円/延坪)×総延坪;70坪=770万円

10年間の元利合計均等払=借入金額減少額;770万円×(1+0.02)の10乗÷{(1+0.02)の10乗−1}×0.02=770万円×0.111=85万円

その金額の85万円/年の10%をリベートとするので、85万円/年×10%=8.5万円/年をリベートとする。
リベートのうち2分の1を建築・工務店に配分し、4分の1を建築サブフランチャイザーに配分し、4分の1をフランチャイザーに配分する。
建築・工務店サブフランチャイザーは、フランチャイジーである建築・工務店が、フランチャイジーであるオーナーからの受注金額の0.3%のコンサルティング料を取得して、その3分の2をサブフランチャイザーが取得し、フランチャイザーに残りの3分の1を配分する。
以上
